Index of /gitrepos/urol-e5/timeseries-molecular-calcification/M-multi-species/output/53-HypA-mod-mCpG

[ICO]NameLast modifiedSizeDescription

[PARENTDIR]Parent Directory   -  
[TXT]analysis_summary.csv 2025-12-13 11:17 263  
[TXT]correlation_results.csv2025-12-13 11:17 421  
[IMG]cross_species_compar..>2025-12-13 11:17 67K 
[TXT]exon_mcpg_merged.csv 2025-12-13 11:17 633K 
[IMG]exon_var_vs_mcpg.png 2025-12-13 11:17 248K 
[TXT]exon_variability_by_..>2025-12-13 11:17 930K 
[IMG]exon_variability_by_..>2025-12-13 11:17 67K 
[TXT]exon_variability_rat..>2025-12-13 11:17 294K 
[TXT]expression_fold_chan..>2025-12-13 11:17 284K 
[IMG]expression_fold_chan..>2025-12-13 11:17 85K 
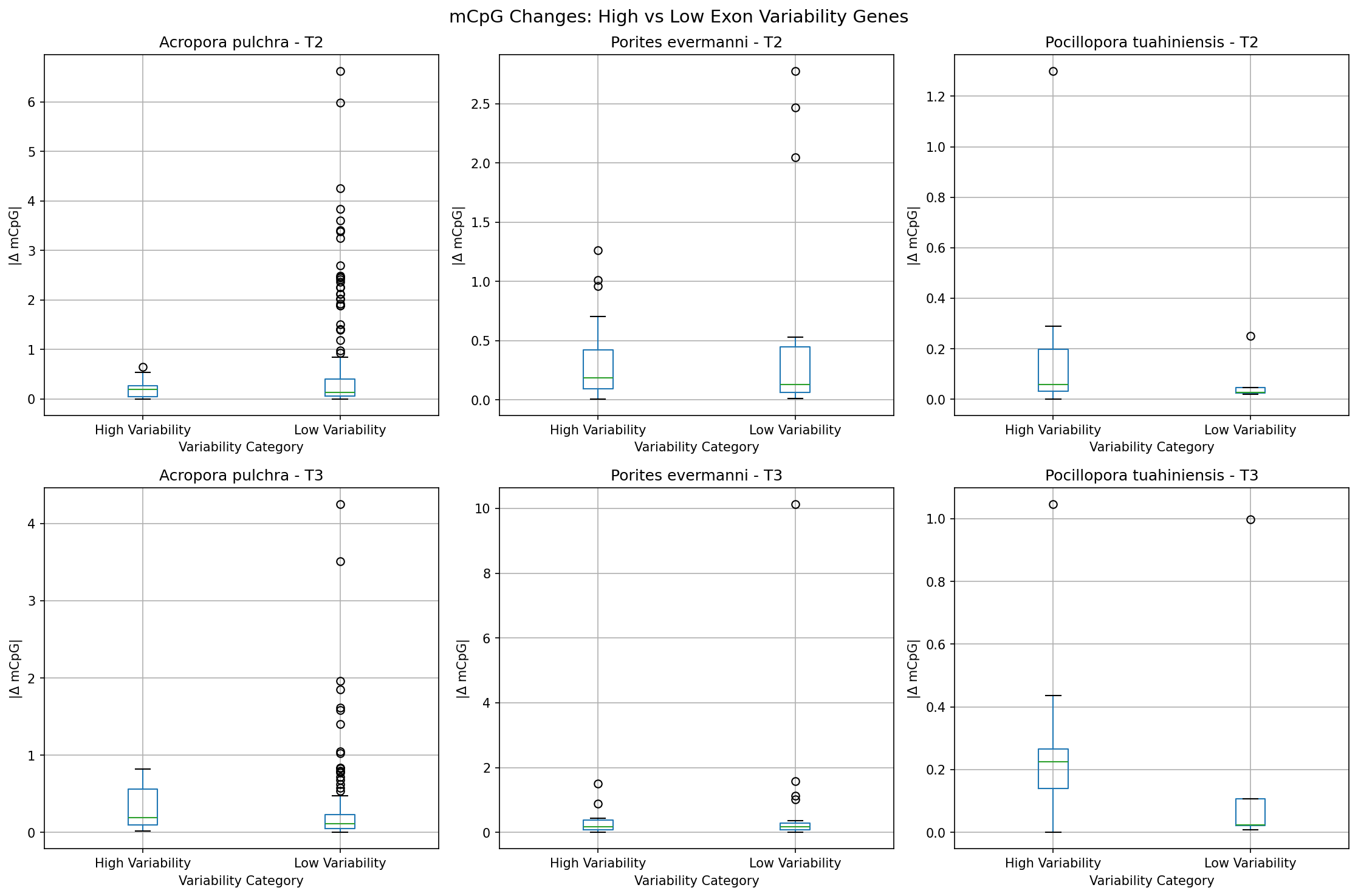
[IMG]mcpg_by_variability_..>2025-12-13 11:17 117K 
[TXT]mcpg_changes_by_gene..>2025-12-13 11:17 350K 
[TXT]wilcoxon_test_result..>2025-12-13 11:17 630